 |
Matronics Email Lists Web Forum Interface to the Matronics Email Lists
|
| View previous topic :: View next topic |
| Author |
Message |
william(at)gbta.net Guest
|
Posted: Fri Nov 30, 2007 6:37 am Post subject: bolt/nut torques |
|
|
I'm getting to the point in my build where I'm going to start using more bolt/nut hardware. Where can I find info on how to torque different sizes of hardware down. Also, I need to know if there's any local places to buy a good torque wrench (Home Depot, Lowes, Sears, etc...) or if I need to order one from Avery/Cleveland, etc.... I don't know how to calibrate a torque wrench so if it's usable out of the box it's better. Finally, what size(s) of wrench do I need to buy???
Thanks in advance
Bill Britton
[quote][b]
| | - The Matronics RV10-List Email Forum - | | | Use the List Feature Navigator to browse the many List utilities available such as the Email Subscriptions page, Archive Search & Download, 7-Day Browse, Chat, FAQ, Photoshare, and much more:
http://www.matronics.com/Navigator?RV10-List |
|
|
|
| Back to top |
|
 |
jesse(at)saintaviation.co Guest
|
Posted: Fri Nov 30, 2007 7:49 am Post subject: bolt/nut torques |
|
|
Bill,
The torque value ranges are in Section 5 of the plans, which you would need to add to the driving torque to get the final torque settings. I have two torque wrenches, one that handles around 10-150in/lbs and one that handles foot lbs high enough to torque the wing attach bolts. You will only use the big one a few times, so that might be worth just borrowing, but the small one you will use a LOT, so I would recommend getting a good one. Local stores would probably have them as you mentioned, but don't get a junky one. I got mine from Avery, and not the cheapest one they sell. I believe the one I have is made by the same people that make the Snap-On version, but don't quote me there. It is nice and solid and easy to handle. Most of them should work right out of the box. Calibration needs to be done with equipment that you won't have, but there are probably local shops that can calibrate for you periodically. Again, I think it is worth getting a good small wrench and maybe just planning on borrowing one for the few big bolts that you need to torque. IIRC the 150in/lbs will serve for up to AN5 bolts at least. There aren't very many over that size, just places like engine mount, landing gear, and wing attach.
Hope this helps, as it is all from memory.
Jesse Saint
Saint Aviation, Inc.
jesse(at)saintaviation.com (jesse(at)saintaviation.com)
Cell: 352-427-0285
Fax: 815-377-3694
On Nov 30, 2007, at 9:33 AM, Bill & Tami Britton wrote:
| Quote: | I'm getting to the point in my build where I'm going to start using more bolt/nut hardware. Where can I find info on how to torque different sizes of hardware down. Also, I need to know if there's any local places to buy a good torque wrench (Home Depot, Lowes, Sears, etc...) or if I need to order one from Avery/Cleveland, etc.... I don't know how to calibrate a torque wrench so if it's usable out of the box it's better. Finally, what size(s) of wrench do I need to buy???
Thanks in advance
Bill Britton
| Quote: | http://www.matronics.com/contribution
href="http://www.matronics.com/Navigator?RV10-List">http://www.matronics.com/Navigator?RV10-List
href="http://forums.matronics.com">http://forums.matronics.com
|
|
[quote][b]
| | - The Matronics RV10-List Email Forum - | | | Use the List Feature Navigator to browse the many List utilities available such as the Email Subscriptions page, Archive Search & Download, 7-Day Browse, Chat, FAQ, Photoshare, and much more:
http://www.matronics.com/Navigator?RV10-List |
|
|
|
| Back to top |
|
 |
AirMike
Joined: 27 Feb 2007 Posts: 514 Location: Nevada
|
Posted: Fri Nov 30, 2007 7:57 am Post subject: bolt/nut torques wrench |
|
|
I got the Avery - it is pre-calibrated and works well.
I was told to relieve the tension when it is not in use.
I think as Jessie stated that it is made in the same factory as snap-on.
I looked far and wide for a 1/4" drive and finally paid the $200
You can get the big ones cheap at Harbor Freight
| | - The Matronics RV10-List Email Forum - | | | Use the List Feature Navigator to browse the many List utilities available such as the Email Subscriptions page, Archive Search & Download, 7-Day Browse, Chat, FAQ, Photoshare, and much more:
http://www.matronics.com/Navigator?RV10-List |
|
_________________ See you OSH '18
Q/B - sold. |
|
| Back to top |
|
 |
millstees(at)ameritech.ne Guest
|
Posted: Fri Nov 30, 2007 8:06 am Post subject: bolt/nut torques |
|
|
The torque values for the different size nuts are in the section 1-5 booklet that came with your manual.
I got my torque wrench for about $60 at Sears. The only requirement is that you need a wrench that measures in inch/pound.
Good luck
Steve Mills N750SM (reserved)
RV-10 40486 Slow-build Eggenfellner E-6T
Naperville, Illinois
Finishing kit
Do Not Archive
From: owner-rv10-list-server(at)matronics.com [mailto:owner-rv10-list-server(at)matronics.com] On Behalf Of Bill & Tami Britton
Sent: Friday, November 30, 2007 8:33 AM
To: rv10-list(at)matronics.com
Subject: bolt/nut torques
I'm getting to the point in my build where I'm going to start using more bolt/nut hardware. Where can I find info on how to torque different sizes of hardware down. Also, I need to know if there's any local places to buy a good torque wrench (Home Depot, Lowes, Sears, etc...) or if I need to order one from Avery/Cleveland, etc.... I don't know how to calibrate a torque wrench so if it's usable out of the box it's better. Finally, what size(s) of wrench do I need to buy???
Thanks in advance
Bill Britton
[quote]
href="http://www.matronics.com/contribution">http://www.matronics.com/chref="http://www.matronics.com/Navigator?RV10-List">http://www.matronics.com/Navigator?RV10-List
href="http://forums.matronics.com">http://forums.matronics.com
[b]
| | - The Matronics RV10-List Email Forum - | | | Use the List Feature Navigator to browse the many List utilities available such as the Email Subscriptions page, Archive Search & Download, 7-Day Browse, Chat, FAQ, Photoshare, and much more:
http://www.matronics.com/Navigator?RV10-List |
|
|
|
| Back to top |
|
 |
rv(at)thelefflers.com Guest
|
Posted: Fri Nov 30, 2007 11:24 am Post subject: bolt/nut torques |
|
|
Van's put a chart in the manual. It's in the booklet that consisted of the first five chapters.
You can get the wrenches anywhere. You tend to get what you pay for. Also, be carefull to ensure whatever wrench you get that the value you need isn't on the end of the range the extend. The closer you get to the end range of the wrench, the less accurate they are.
I was lazy and purchased mine from Avery. I also got a digital one with a buzzer, so I don't have to bend over backwards to read the display.
| Quote: |
From: "Bill & Tami Britton" <william(at)gbta.net>
Date: 2007/11/30 Fri AM 09:33:29 EST
To: <rv10-list(at)matronics.com>
Subject: bolt/nut torques
I'm getting to the point in my build where I'm going to start using more bolt/nut hardware. Where can I find info on how to torque different sizes of hardware down. Also, I need to know if there's any local places to buy a good torque wrench (Home Depot, Lowes, Sears, etc...) or if I need to order one from Avery/Cleveland, etc.... I don't know how to calibrate a torque wrench so if it's usable out of the box it's better. Finally, what size(s) of wrench do I need to buy???
Thanks in advance
Bill Britton
|
| | - The Matronics RV10-List Email Forum - | | | Use the List Feature Navigator to browse the many List utilities available such as the Email Subscriptions page, Archive Search & Download, 7-Day Browse, Chat, FAQ, Photoshare, and much more:
http://www.matronics.com/Navigator?RV10-List |
|
|
|
| Back to top |
|
 |
rv10builder(at)verizon.ne Guest
|
Posted: Fri Nov 30, 2007 12:55 pm Post subject: bolt/nut torques |
|
|
Section 5 page 13 has Torques
Buy a in-lbs torque wrench through Amazon, or other source, they tend to be less than HD or Lowes
Comes calibrated and get whatever size you already use with your tools, 1/4 or 3/8- all the same since you are doing very little torque on the bolts (like 2 ft lbs on AN3 bolts)
Pascal
[quote] ---
| | - The Matronics RV10-List Email Forum - | | | Use the List Feature Navigator to browse the many List utilities available such as the Email Subscriptions page, Archive Search & Download, 7-Day Browse, Chat, FAQ, Photoshare, and much more:
http://www.matronics.com/Navigator?RV10-List |
|
|
|
| Back to top |
|
 |
carlosh(at)sec-engr.com Guest
|
Posted: Fri Nov 30, 2007 2:15 pm Post subject: bolt/nut torques |
|
|
Here's a couple more places you can get wrenches from....
1. www.toolsource.com
2. www.emaxaction.com
I purchased a CDI torque wrench from www.emaxaction.com in 7/2006.
Detailed Description:
Maker: CDI Torque Products(a Snap-On Co.)
Model: 2502LDIN (0-250 in lb)
3/8" drive, 0-250 in. lb. Dial Torque Wrench
Dual Scale, Inch Pounds and Newton meter
Certificate of Calibration traceable to N.I.S.T..
Accuracy +/- 4% of indicated value, from 20-100% of full scale.
Shipped in molded plastic box.
List Price: $221.26
Emax Price: $140.21 (w/ free shipping)
This is still a dial wrench and should still have the range to torque
all the hardware on the airplane. I hope so anyways!
Carlos in AZ
Pascal wrote:
[quote] Section 5 page 13 has Torques
Buy a in-lbs torque wrench through Amazon, or other source, they tend
to be less than HD or Lowes
Comes calibrated and get whatever size you already use with your
tools, 1/4 or 3/8- all the same since you are doing very little torque
on the bolts (like 2 ft lbs on AN3 bolts)
Pascal
---
| | - The Matronics RV10-List Email Forum - | | | Use the List Feature Navigator to browse the many List utilities available such as the Email Subscriptions page, Archive Search & Download, 7-Day Browse, Chat, FAQ, Photoshare, and much more:
http://www.matronics.com/Navigator?RV10-List |
|
|
|
| Back to top |
|
 |
Bill Schlatterer
Joined: 09 Jan 2006 Posts: 195
|
Posted: Fri Nov 30, 2007 5:48 pm Post subject: bolt/nut torques |
|
|
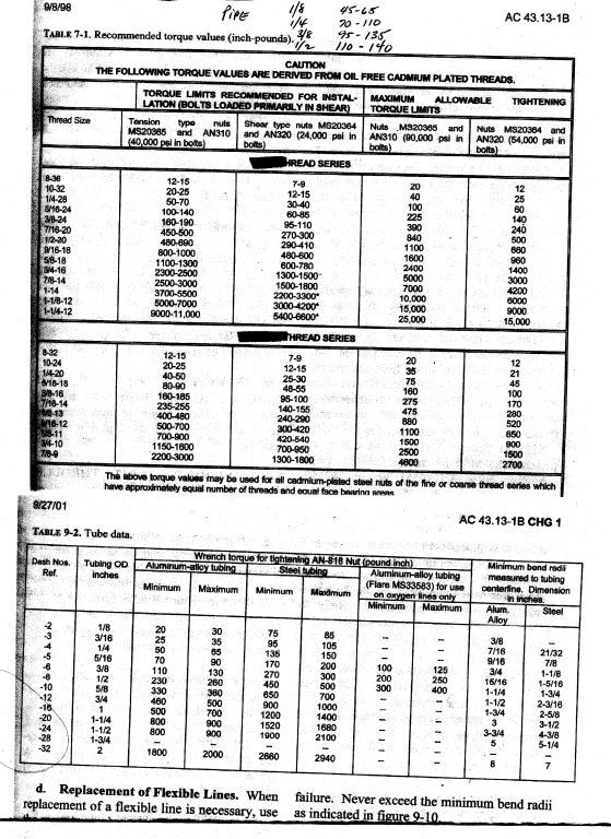
Bill, maybe these will help. Note pipe and AN values.
Bill S
7a Ark
From: owner-rv10-list-server(at)matronics.com [mailto:owner-rv10-list-server(at)matronics.com] On Behalf Of Bill & Tami Britton
Sent: Friday, November 30, 2007 8:33 AM
To: rv10-list(at)matronics.com
Subject: bolt/nut torques
I'm getting to the point in my build where I'm going to start using more bolt/nut hardware. Where can I find info on how to torque different sizes of hardware down. Also, I need to know if there's any local places to buy a good torque wrench (Home Depot, Lowes, Sears, etc...) or if I need to order one from Avery/Cleveland, etc.... I don't know how to calibrate a torque wrench so if it's usable out of the box it's better. Finally, what size(s) of wrench do I need to buy???
Thanks in advance
Bill Britton
| Quote: |
href="http://www.matronics.com/contribution">http://www.matronics.com/chref="http://www.matronics.com/Navigator?RV10-List">http://www.matronics.com/Navigator?RV10-List
href="http://forums.matronics.com">http://forums.matronics.com
|
| | - The Matronics RV10-List Email Forum - | | | Use the List Feature Navigator to browse the many List utilities available such as the Email Subscriptions page, Archive Search & Download, 7-Day Browse, Chat, FAQ, Photoshare, and much more:
http://www.matronics.com/Navigator?RV10-List |
|
| Description: |
|
| Filesize: |
123.4 KB |
| Viewed: |
409 Time(s) |

|
| Description: |
|
| Filesize: |
61.11 KB |
| Viewed: |
378 Time(s) |

|
| Description: |
|
| Filesize: |
111.04 KB |
| Viewed: |
392 Time(s) |

|
| Description: |
|
| Filesize: |
93.17 KB |
| Viewed: |
342 Time(s) |

|
|
|
| Back to top |
|
 |
|
|
You cannot post new topics in this forum You cannot reply to topics in this forum You cannot edit your posts in this forum You cannot delete your posts in this forum You cannot vote in polls in this forum You cannot attach files in this forum You can download files in this forum
|
Powered by phpBB © 2001, 2005 phpBB Group
|